Premium T4 DNA Ligase (400 U/μL)
产品名称: Premium T4 DNA Ligase (400 U/μL)
英文名称: Premium T4 DNA Ligase (400 U/μL)
产品编号: 14966ES
产品价格: 询价
产品产地: Yeasen
品牌商标: Yeasen
更新时间: 2025-12-15T12:51:40
使用范围: null
- 联系人 : 李自转
- 地址 : 上海市浦东新区天雄路166弄一号楼三层南单元
- 邮编 : 200030
- 所在区域 : 上海
- 电话 : 139****5640 点击查看
- 传真 : 点击查看
- 邮箱 : lizizhuan@yeasen.com
- 二维码 : 点击查看
T4 DNA Ligase即T4 DNA连接酶,可以催化粘端或平端双链DNA或RNA的5'-P末端和3'-OH末端之间以磷酸二酯键结合,该催化反应需ATP作为辅助因子。同时T4 DNA 连接酶可以修补双链DNA、双链RNA或DNA/RNA杂合物上的单链缺刻。Premium T4 DNA Ligase是一款经过特殊工艺优化过的T4 DNA Ligase,具有残留低、稳定性好、连接效率高、接头二聚体残留低等特点,适用于NGS、克隆等应用场景。
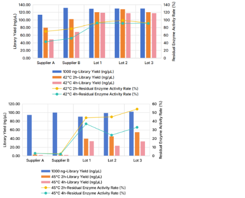
- 超凡热稳定性:42℃处理 4 小时仍保持 60% 以上酶活残留,在较宽温度区间内持续发挥高效酶活,无论是高温反应场景,还是高通量实验室温预装体系、多步实验室温衔接等复杂场景,都能稳定适配,无需担忧酶活衰减。
- 超低接头自连率:0.5 ng gDNA 建库实验中,接头自连率显著优于竞品,尤其适配肿瘤活检、单细胞测序、cfDNA 等微量样本建库,既能避免珍贵样本与接头浪费,又能减少无效序列干扰,保障数据真实性与精准度。
1. 超凡热稳定性:42℃处理 4 小时仍保持 60% 以上酶活残留
将翌圣生物三批次Premium T4 DNA Ligase与供应商A和B的T4 DNA连接酶进行42℃和45℃下0、2 、4 h的热处理。接着,使用翌圣生物DNA建库试剂盒(Cat#12927ES),投入1 µg断裂的牛gDNA构建全基因组DNA库, 以此比较T4 DNA 连接酶的热稳定性。
结果显示:翌圣产品热稳定性(42℃和45℃处理)显著优于供应商 A和B,高温场景适配性更胜一筹。



图1. 42℃、45℃热稳定性测试(Lot 1, Lot 2, Lot 3表示翌圣翌圣生物三批次Premium T4 DNA Ligase,下同)
2、超低接头自连率:0.5 ng gDNA 建库实验中,接头自连率超低
将翌圣三批次Premium T4 DNA Ligase与供应商A和B的T4 DNA连接酶进行接头自连对比测试,使用翌圣DNA建库试剂盒(Cat#12927ES),投入0.5 ng断裂的牛gDNA来构建全基因组DNA文库。
结果显示:翌圣产品接头自连率表现远超供应商 A,精准规避非特异性连接干扰。


图2. 投入0、0.5 ng gDNA的接头自连数据
3、宿主gDNA残留极低:从源头保证实验结果可靠
使用翌圣E.coli宿主细胞DNA残留检测试剂盒(2G)(Cat#41318)对3批次的Premium T4 DNA Ligase进行宿主(E.coli)gDNA残留检测。
结果显示:3批次产品的宿主gDNA残留量均远低于进口品牌标准,确保了检测结果的可靠性。


图3. Premium T4 DNA Ligase宿主gDNA残留结果
4、无核酸外切酶、切口酶残留
将6000 U Premium T4 DNA Ligase分别与核酸底物孵育,并通过琼脂糖凝胶电泳分析谱带变化。结果显示:翌圣的3个批次Premium T4 DNA Ligase均未检测到核酸外切酶、切口酶残留,证实产品中无潜在核酸酶污染,从源头杜绝干扰。


图4. Premium T4 DNA Ligase核酸外切酶、切口酶残留检测结果
-25~-15℃保存,有效期2年。
